自2014年Sentinel-1合成孔径雷达(SAR)卫星发射以来,IW模式二级径向速度(RVL)产品已被广泛用于海表流场的高分辨率制图。然而,RVL产品的应用受到非地球物理和风浪引起的地球物理项(WASV)误差的限制,以往的研究主要集中在提高近海区域海流的反演精度,而忽视了开阔海域海流的高精度反演和不确定性分析。针对上述问题,王利花、谭本华和孙伟伟等人通过考虑SAR场景内的陆地覆盖情况,提出了一种适用于沿海和大洋的非地球物理校正方案。使用从美国东海岸、西海岸和夏威夷群岛收集的1282个漂流器和78054个高频雷达点对校正后的RVL产品进行了验证,总体精度提高了60%以上。为了研究不同海况(如纯风浪、风浪主导混合海、涌浪主导混合海和纯涌浪)下WASV校正的影响,从2018年1月到2019年5月共收集了127534个匹配点,用于评估四种校正方案的性能。与高频雷达海流的综合比较表明,CDOP在纯风浪海(RMSE高达0.34 m/s)中表现不佳,而结合海况参数可以提高反演精度。KaDOP和CDOP-Yn的性能相当,而KaDOP在纯风或风浪主导的混合海中表现更好,RMSE为0.21 m/s,相关系数(r)为0.62。SAR反演的海流和现场观测海流之间的相关性也随着入射角、卫星轨道和极化而变化。总体而言,这些结果为中尺度和亚中尺度海洋动力学研究提供了可靠的OSC数据。
引用格式:Wang L ,Tan B ,Chu X , et al. Correction and validation of Sentinel-1 IW radial velocity products using drifter and HF radar across the entire ocean environment [J]. Remote Sensing of Environment, 2025, 328 114909-114909. DOI:10.1016/J.RSE.2025.114909.
Highlight
1、在近岸和开阔海域同时实现了非地球物理项的校正。
2、系统评估了不同海况下WASV校正对海流反演精度的影响。
3、结合大量时空匹配的实测数据对多普勒频移异常(DCA)算法进行不确定性分析。
研究背景
海表流场是海洋环流、物质输运与气候过程的关键变量,对航运、渔业与海洋能开发等具有重要应用价值。合成孔径雷达(SAR)基于多普勒质心异常(DCA)可从单天线平台获取径向表面流速,但现有Sentinel-1 IW Level-2 RVL产品中存在明显的非地球物理项(如scalloping、姿态与天线指向误差)和风—波诱导伪速度(WASV),这会掩盖真实流场信号。
以往校正/验证多集中在近岸或有陆地参考的区域,远洋/岛屿附近数据校正与大规模不确定性分析不足;另外,不同 GMF(经验/半经验模型)对复杂海况的适用性尚不清楚,对于不同海况下WASV校正的系统比较与不确定性分析不足。
本研究旨在提出一套同时适用于近岸与开阔海域的非地球物理与WASV校正流程,并通过漂流浮标与HF雷达的大样本验证,量化方法性能与适用边界。
研究方法
1)预处理与异常值剔除
时间与空间配对:对SAR、HF雷达与漂流浮标实施时空匹配(尽量缩短时间差以减少海况演变影响)。
异常点检测:采用统计量(如MAD、中位数、峰度等)识别并剔除明显的离群回波(如船舶、港湾结构等人工回波),以免污染后续校正与模型训练。
2)非地球物理项校正流程
总体思路是先去除系统性的仪器/成像误差,再进行物理性 WASV 校正。关键步骤如下:
方位方向校正:
去除TOPS模式下的scalloping调制与剩余几何项(采用空间域滤波/去调制的方法),消减周期性方位误差(幅值量级约±0.1 m/s可被显著抑制)。
距离方向校正三种方案:
方案 i:若场景含连续陆地,利用陆地回波作为固定参考估计并去除距离向的天线电子指向误差与未知偏置。
方案 ii:若无连续陆地但存在相邻/同周期参考影像,使用参考影像中陆地或稳定目标进行校正。
方案 iii:当场景无陆地或参考影像时,基于海面区域的低方差样本估计距向误差并滤除高频成分以减小偏置(适用于海况相对平缓的开阔海域)。
3)WASV校正模型与比较
反演方法基础:先通过DCA(Doppler Centroid Anomaly)从SAR原始量测得到径向速度(RVL),在去除非地球物理项后进一步校正WASV。
比较模型与输入:
CDOP:仅以风场为输入的经验/半经验GMF。
KaDOP:引入波参数以改进WASV估计;不同配置分别测试含“涌”与含“风浪”的输入组合。
CDOP-Y3:将风、风浪与涌等多源波况参数一起作为输入的扩展模型。
波况输入来源:WW3模型输出与SAR-derived风场的组合;对不同海况分别评估模型表现。
目标:量化在纯风浪、风浪主导混合、涌主导混合与纯涌四类海况下各模型的RMSE、Bias与相关性,并在极端风暴样例中检验稳健性。

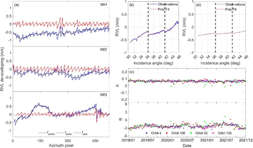
图1 非地球物理项估计
4)验证设计与统计评估
验证指标:RMSE、Bias、MAD、标准差、相关系数 r、相对 RMSE(RRMSE)等。并通过散点图与1:1参考线、误差随入射角/航向/风速的分布图来分析残差来源。
敏感性分析:考察入射角、子带(IW1/IW2/IW3)、上/下行轨道与风速区间对校正效果与WASV校正性能的影响,确定何时非地球物理校正或仅做WASV校正即可满足精度需求。

实验数据及结果
实验数据:
选取美国东海岸、西海岸与夏威夷区域的Sentinel-1 IW RVL(2018–2021);配套使用WW3波浪预报、Sentinel-1 OWI风场、HF雷达与GDP漂流浮标用于验证。

图2 研究区域示意图

图3 径向流反演结果

图4 GDP漂流浮标速度与SAR反演速度的散点图

图5 HF雷达测得速度与SAR反演速度的散点密度图

图6 三种非地球物理项校正方案的误差时间序列变化
结论
去除非地球物理项并结合WASV校正后,SAR径向速度的精度显著提升,使 Sentinel-1 IW RVL 产品全球适用性大幅提升,KaDOP/CDOP-Y3等各类模型在大多数海况下均优于仅考虑风的模型,尤其在风浪或风浪/涌混合条件下表现较好。但在纯涌、高海况或风暴核心区,仍存在偏差和残余误差,说明现有GMF在极端条件下的局限性。此外,入射角、航向及环境条件也会影响精度,意味着在无陆地参考的远洋场景和复杂海况下仍需更多观测和模型改进。
原文下载链接://www.sciencedirect.com/science/article/pii/S003442572500313X?via%3Dihub#f0005